Examples
RadialState
Some examples demonstrating the usage of the RadialState class, which uses the Numerov method for solving the radial Schrödinger equation.
AngularState
Examples demonstrating the usage of the AngularState class.
RydbergState
Some examples demonstrating the usage of the RydbergState class.
Comparisons
Some comparisons to old versions of pairinteraction and ARC

Comparison of the wavefunctions to ARC(v3.8.1)

Comparison of the radial matrix elements to pairinteraction(v0.9) and ARC(v3.8.1)

Comparison of the dipole matrix elements with pairinteraction(v0.9) and ARC(v3.8.1)

Comparison of the z_min values for circular states to Pairinteraction(v0.9) and ARC(v3.8.1)

Compare NIST energy levels data

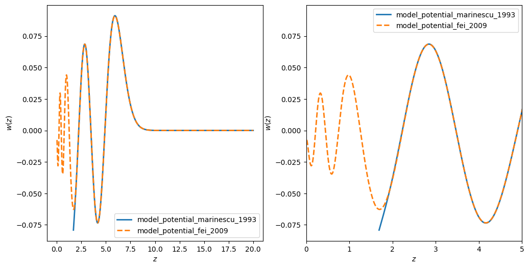
Compare different effective model potentials

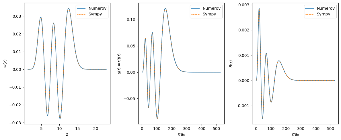
Comparison: Numerov - Whittaker
Benchmark
Some timing benchmarks.

